Contratto sanità: aumenti col trucco. Indennità e incarichi nel mirino degli infermieri
Incrementi medi a 140 euro lordi mensili, ma fuori dal tabellare molte voci risultano ridimensionate nella bozza di accordo. Bottega: "Altro che premio al merito. E' un massacro"
di Ulisse Spinnato Vega
Aumenti in busta paga col trucco. O per meglio dire, con la fregatura. Prendi da una parte e togli dall'altra. Gli infermieri alle prese con il rinnovo del contratto per il comparto sanità 2019-2021, di cui Nursind Sanità ha visionato l'ultima bozza, non gradiscono quello che Andrea Bottega, segretario nazionale del Nursind, definisce "un massacro". L'aumento medio per la categoria è di circa 140 euro lordi mensili, di cui 72 euro fanno capo all'indennità di specificità e 68 euro sono erogati dal contratto. Ma se usciamo dal perimetro del tabellare e andiamo alle indennità, i numeri appaiono oggi in larga parte peggiorativi rispetto al precedente contratto. "C'è un rimescolamento delle carte, ossia delle voci, che ci penalizza. Questa revisione delle indennità non ci trova d'accordo e ci rimettiamo anche con il sistema degli incarichi. Altro che premio al merito", rincara Bottega.
Sul fronte delle cifre, allo schema di intesa manca ancora la parte dei fondi contrattuali che determina quante risorse vengono destinate a finanziare le singole partite. Probabilmente se ne saprà di più al prossimo tavolo, fissato soltanto per venerdì4 marzo, dunque con un rallentamento dei lavori: indice che le cose andranno per le lunghe. Ma intanto entriamo nel dettaglio dei numeri a disposizione e prendiamo ad esempio il servizio di pronta disponibilità che è "caratterizzato dalla immediata reperibilità del dipendente", spiega la bozza di contratto, ha durata di norma di 12 ore e prevede una indennità oraria di 1,80 euro lordi. La pronta disponibilità, qualora si venga chiamati in servizio, dà diritto al pagamento dello straordinario notturno e festivo che ha una quota fissa, con il nuovo schema, di 15,69 euro lordi orari. "Eliminando, però, le maggiorazioni del 30% per il notturno o festivo e del 50% per il festivo e notturno insieme, chi viene chiamato in pratica ci rimette. Anche se il valore orario aumenta di pochi centesimi", osserva Bottega.
E che dire dell'indennità di turno e di servizio notturno? E' pensata per "riconoscere il disagio del personale turnista derivante dalla particolare articolazione dell'orario di lavoro", spiega la bozza di contratto, e vale 40 euro al mese secondo l'ipotesi di rinnovo. "Ma oggi chi fa circa 20 turni ogni 30 giorni ne prende 42 o 90, a seconda dei due o tre turni - chiosa il segretario nazionale del Nursind -. E con l'indennità oraria per il festivo da 1,50 euro ci si perdono quasi 7 euro". "Inoltre tolgono il festivo infrasettimanale che pure era stato riconosciuto dalla Cassazione e scende a 90 euro, dai circa 103 precedenti, l'indennità sui servizi domiciliari e malattie infettive", attacca Bottega.
Venendo invece alla nuova indennità di pronto soccorso, voluta per chi sta in prima linea nel contatto con l'utenza, si punta a scaricare sulle Regioni la definizione della platea degli aventi diritto. "Invece deve essere la contrattazione a deciderlo, non gli accordi regionali", osserva il sindacalista. Peserebbe poi pure il vincolo di non cumulabilità di indennità come quella di terapia intensiva e, appunto, quella di malattie infettive: per Bottega si tratterebbe di "uno schiaffo agli infermieri e Oss che hanno lavorato nei reparti Covid". Infine il Nursind segnala una sperequazione tra l'indennità di tutela del malato per le ostetriche e quella di specificità infermieristica che va a figure più datate come la puericultrice o l'ex infermiere generico. Alle prime, che hanno formazione universitaria, sono destinati infatti 41,10 euro lordi mensili, mentre ai secondi, che sono entrati in sanità con la licenza media inferiore e un corso regionale, toccano quasi 63 euro. Allora Bottega si chiede: "Perchè ci tolgono questi soldi? Cosa devono farci? Devono forse finanziarci gli incarichi di posizione nell'area delle elevate professionalità? Vogliamo piuttosto sperare che non siano queste le vere cifre e che si tratti ancora di tattica negoziale".
Anche sul piano normativo, il numero uno del Nursind fa notare che "permane il requisito della laurea magistrale per gli incarichi di organizzazione, benchè venga un po' migliorata la definizione del professionista sanitario specialista. In ogni caso non viene attuata la legge 43 del 2006". E su questo punto tutte le sigle sindacali, a quanto apprende Nursind Sanità, avrebbero avuto da ridire al tavolo con l'Aran. L'alternativa alla laurea, per i dipendenti già in servizio, risiede nell'aver maturato un'anzianità di almeno 15 anni e nel vantare un incarico in corso. Altrimenti, nel momento in cui scade quello attuale, con le nuove norme si perdono i requisiti.
Scende da sei a quattro mesi il periodo di prova dopo il quale si ottiene un incarico di base, ma anche qui non mancano le trappole. Esso assorbe infatti voci retributive già oggi erogate (indennità di qualificazione professionale e indennità professionale specifica) e genera un aumento di appena 7 euro per giungere ai 1.370 euro l'anno. Tuttavia, accade che per gli incarichi di media ed elevata complessità si arrivi a un massimo di 13mila euro l'anno, con un aumento di mille euro rispetto ai 12mila dello scorso contratto. In realtà, però, dato che l'incarico di media ed elevata complessità riassorbe anche quello di base, alla fine vengono a mancare fino a 370 euro per gli inquadramenti più alti. "Con il sistema attuale io percepisco le indennità più gli incarichi, mentre con quello nuovo i secondi inglobano le prime, ma non aumentano proporzionalmente", denuncia Bottega. "Tirando le somme, noi ci rimettiamo con questo sistema degli incarichi che andrebbe finanziato in modo diverso. Va dunque a perderci chi aveva 12mila euro o anche solo un incarico minimo, almeno nella fascia di media complessità. Soprattutto se parliamo del ruolo sanitario infermieristico".
Morale? Gli eroi della pandemia non pretendono un monumento equestre, ma qui dovranno ancora lottare anche per il minimo riconoscimento delle loro prerogative.
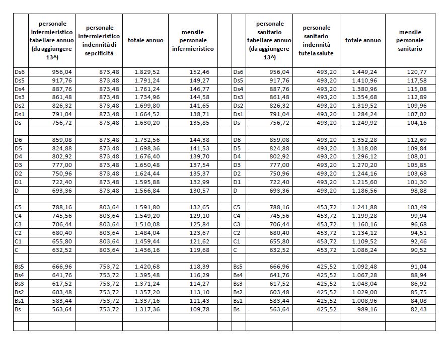
A seguire un'elaborazione grafica del Nursind sugli aumenti contrattuali
